 
   
  硅胶色谱 HP-Diol
- HP-Diol
- 苏州赛分
- 江苏省苏州市
- 现货
- 按需定制
- 议价
- 2022-12-17 15:35:25
苏州赛分科技股份有限公司
一键申请试用
 咨询
 加入意向单
 联系方式
- 
采用高度可控的聚合单分子层形成技术
- 
高的柱间重现性
- 
高的选择性和分离效率
- 
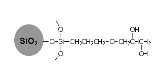
HP-Diol为极性固定相,可分离酸性、中性和碱性有机化合物以及药物分子等
  HP-Diol固定相键合有1,2-二羟基丙基丙醚官能团,可与极性化合物发生相互作用。该固定相采用聚合化学键合技术,具有高的分离效率和化学稳定性,可用于多肽,蛋白,以及极性药物分子等的分离。Sepax HP-Diol柱还可基于体积排阻机理对生物分子进行分离。
技术参数表
| 硅胶: | 球形, 高纯度(金属杂质<10ppm)  | 
|---|---|
| 孔径: | 80, 120Å | 
| 粒径: | 3、5和10µm | 
| 孔体积: | 1.0mL/g | 
| 比表面积: | 300m²/g | 
| 键合密度: | ~4.0µmol/m² | 
下图是对Sepax HP-Diol柱进行测试得到的色谱图。

 
  
  
   
   
   
   
   
   
   
   
  