工具鼠和疾病模型
- Cre
- 百奥动物
- 江苏省南通市
- 现货
- 按需定制
- 议价
- 2022-11-07 13:59:34
百奥赛图江苏基因生物技术有限公司
- 英文名称
- Cre
- 关键词
- 工具鼠Cre疾病模型
医药生物行业生命科学领域产业链系列报告显示,随着科研发展与对新靶点的持续追求,基因修饰动物凭借可以精准满足用户需求的特点,正快速发展为模式动物市场主流产品。GMI 数据披露,2019 年全球基因修饰动物模型市场规模约为 100 亿美元,预计 2023 年将增至 141 亿美元,占动物模型服务市场近67%[1]。技术进步重塑市场格局,基因修饰模式动物地位日益凸显。
相较于野生型的模式动物,基因修饰模式动物能够对目标基因开展功能缺失或功能获得的研究,达到人类生理或病理更精确的模拟,因此更适合探索研究人类基因功能和人类疾病致病机制,是目前行业重要的发展方向。这其中Cre工具鼠和疾病模型鼠亦扮演着举足轻重的角色。
一起围观下百奥动物的蓝宝小家伙带来的好物分享吧~
鼠界“爱德华”--Cre工具鼠系列
基因敲除鼠常被用来研究基因的功能,但据研究报道,小鼠有超过30%的基因敲除后导致了胚胎致死或者出生后不久死亡[2],从而无法对该基因在体内发挥的生理功能进行更好的研究。为了解决这个问题,科学家发现了Cre/loxP系统。
1、什么是Cre/loxP系统?
Cre-loxp 系统来自于P1 噬菌体,是噬菌体感染病毒实现寄生的“杀手锏”。 Cre重组酶(cyclization recombination enzyme),它是一种由343个氨基酸组成的单体蛋白,可以引发loxP位点的DNA 重组。loxP是一段长34bp的DNA序列,是Cre重组酶识别的位点,被称为loxP位点。
Cre重组酶的调控方式有多种多样,有如特异性基因启动子调控的Cre(Promoter-regulated Cre)、配体或药物诱导的Cre(Inducible Cre)、荧光报告的Cre(Fluorescent Cre)以及同时被不同启动子调控的Cre(Split Cre,NCre 和CCre)等。不同调控方式的选择造就了不同的Cre工具鼠。
2、Cre/loxP系统在基因编辑大小鼠中的应用
根据Cre-loxp 系统工作的原理,在基因编辑大小鼠中,分别制作Cre重组酶工具大小鼠和带有loxp位点的flox鼠,通过杂交可以实现组织特异性基因敲除,这样可以避免全身性敲除引起的纯合致死情况。
你是不是也正在经历实验设计选不到合适Cre鼠的窘境?百奥动物自主开发了一系列Cre工具鼠,助力不同应用场景的科学研究。
B-Pgr-iCre小鼠
基本信息

应用领域
生殖系统功能研究
表型分析


ROSA26-CAG-LSL-tdTomato mice是公司自主研发并验证成功的tdTomato报告小鼠品系。在与Cre小鼠交配后,剔除stop元件,可表达tdTomato红色荧光蛋白。本实验方案利用B-Pgr-iCre mice与CAG-LSL-tdTomato报告小鼠交配,iCre重组酶可介导子代小鼠中表达Pgr的细胞删除LSL元件,表达tdTomato红色荧光蛋白,荧光显微镜下可观察到红色荧光信号,可证明表达Pgr的细胞成功表达iCre重组酶并介导基因重组功能。
上图为小鼠不同器官中实验结果的显示,(a)代表小鼠的生殖系统,包括子宫、输卵管和卵巢。(b)代表小鼠的乳腺。IF 检测 tdTomato 红色荧光蛋白和绿色荧光标记 Pgr(progesterone) 的表达。纵轴代表不同基因型的小鼠,横轴代表不同的荧光标记。B-Pgr-iCre(Mut/+);CAG-tdTomato(Mut/+) 小鼠表现出明显的 tdTomato 红色荧光蛋白表达。
B-Cdh5-iCreERT2 mice小鼠
基本信息

应用领域
心血管系统,肿瘤和细胞分化机制研究
表型分析

ROSA26-CAG-LSL-tdTomato mice是公司自主研发并验证成功的tdTomato报告小鼠品系。在与Cre小鼠交配后,剔除stop元件,可表达tdTomato红色荧光蛋白。本次实验中B-Cdh5-iCreERT2 mice与ROSA26-CAG-LSL-tdTomato mice交配,可实现Cdh5-iCreERT2(Mut/+);CAG-LSL-tdTomato(Mut/+)双阳性小鼠在tamoxifen诱导下,在血管淋巴管内皮细胞特异性表达tdTomato红色荧光蛋白。
上图为双阳性小鼠主要器官中 tdTomato 和 CD31 的免疫荧光图像。CD31是内皮标记物。(比例尺:25 μm)
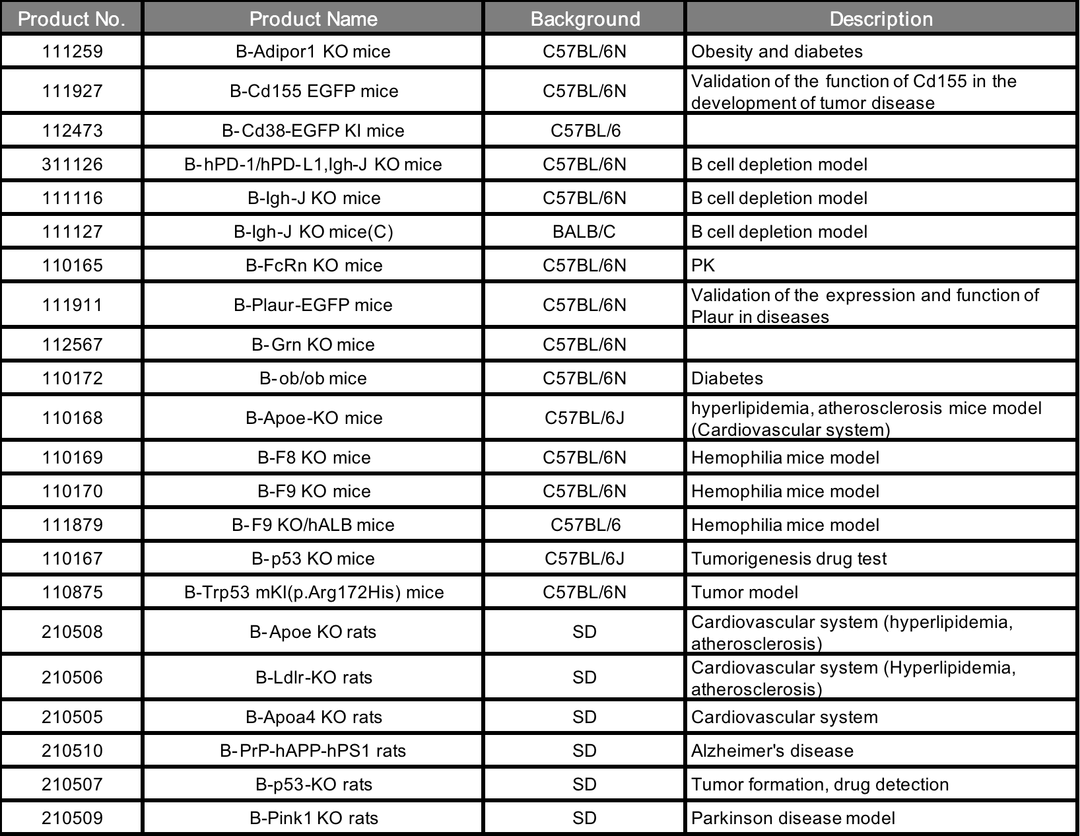
百奥动物Cre工具鼠产品列表

高能“cosplay”--疾病模型鼠系列
疾病动物模型是研究人类疾病机制、诊断预后标志物发现、药物筛选和评价等的重要支撑条件。利用基因工程技术对基因进行修饰,可建立敏感动物品系和与人类疾病相同的疾病模型进行药物筛选和药效研究,这类动物可培育为稳定遗传的品系,且具有特定的病理特征,已经成为药物快速筛选的重要手段。
百奥动物建立了丰富的疾病模型资源,为疾病治疗药物评价提供稳定有效的模型资源,并能够基于此为广大合作伙伴提供符合国际水平的药理药效服务。
血友病模型--B-F8 KO 小鼠
F8又称AHF,FVIII(coagulation factor VIII),是位于X染色体上编码凝血因子VIII的基因,在外源性和内源性凝血途径中都不可或缺。它作为凝血因子IXa的辅助因子参与凝血过程,同时借助于Ca2 +和膜磷脂,形成复合物以激活X因子,并进行一系列后续的凝血反应。F8基因的缺失导致严重的凝血障碍,形成伴X染色体隐性遗传的A型血友病。F8基因敲除模型为血友病患者的药物筛选提供了重要的临床前借鉴意义。
模型数据验证

将实验动物随机分组,分别尾静脉注射给予生理盐水或1mg/kg诺其,给药30min后腹主动脉采血检测血凝指标:活化部分凝血活酶时间 APTT。
结果显示:F8 KO小鼠APTT值远高于WT小鼠,给予重组人凝血因子VIIa后,APTT恢复至正常值。
结果证明:B-F8 KO小鼠可以作为抗凝血药药效验证的有力工具。
高血糖和肥胖症模型--B-ob/ob 小鼠
瘦素(Leptin)是由肽链构成的肽类激素。主要由脂肪细胞分泌,其表达主要在白色脂肪组织。此外,在心肌、骨骼肌、胎盘、肺、乳腺上皮和胃黏膜等均有表达。在功能上能够有抑制食欲,增加能量消耗,抑制脂肪合成促进其分解。胰岛素可促进瘦素的分泌,反过来瘦素对胰岛素的合成、分泌发挥负反馈调节。
ob是瘦素的编码基因,百奥动物利用基因编辑技术将ob基因2、3号外显子敲除制备的B-ob/ob小鼠,具有肥胖症和高血糖症状,是研究高血糖和肥胖症的有力模型。
模型数据验证


纯合B-ob/ob小鼠4周龄后体重和血糖(-/-)均持续高于对照组。

抗人GCGR抗体药物crotedumab在B-ob/ob小鼠体内的药效。(A)B-ob/ob小鼠的体重变化。(B-C)非空腹血糖和空腹血糖测量。将8-10周龄的雄性B-ob/ob小鼠随机分为2组,每组6-7只。给药组第0天进行给药,第0、3、7天测定非空腹血糖,禁食6小时后测定空腹血糖。(D)Crotedumab可改善葡萄糖耐量。(E)血糖含量曲线下面积。小鼠在自由取水的条件下禁食6h,尾尖取血测定空腹血糖(0 min),腹腔注射葡萄糖2 g/kg,在指定时间测定血糖。(F-G)胰高血糖素和胰岛素测量。结果显示,crotedumab在禁食和非禁食状态下均具有降糖作用,同时能够改善B-ob/ob小鼠的葡萄糖耐量。
百奥动物疾病模型鼠产品列表
百奥动物可提供多种稳定优质的基因编辑自发疾病动物模型,如肿瘤模型鼠(B-p53 KO 小鼠,B-p53 KO大鼠),高血糖模型鼠(B-ob/ob小鼠),凝血模型鼠(B-F8 KO小鼠,B-F9 KO小鼠)等,提供客户用于相关研究。

意犹未尽?想要共享蓝宝的更多好物清单,欢迎来电咨询。
参考资料:
[1]https://mp.weixin.qq.com/s/rhhEFL5A9KhVKAULO29COw
[2]Huimin Zhang, Qi Zheng, Ruby Yanru Chen-Tsai;Establishment of a Cre-rat resource for creating conditional and physiological relevant models of human diseases. Transgenic Res. 2021 Feb;30(1):91-104
