Nature子刊 | 中南大学团队发表结直肠癌病理图像人工智能诊断模型,准确率优于病理学家
结直肠癌(CRC)是常见的消化道恶性肿瘤之一。病理诊断是大肠癌诊断常用的方法之一,需要病理学家目视检查全视野数字病理切片(WSIs)。WSIs数据的快速积累使病理学家工作强度大幅提高。利用人工智能方法提高临床病理诊断效率成为新的研究热点,机器辅助病理图像识别一直是监督学习(SL)领域关注的重点,但SL也面临着数据标记问题,需要给出不同环境状态下的期望数据输出,限制了应用瓶颈。半监督学习(SSL)也是机器学习的一种,可以利用标记数据以及未标记数据,被认为是辅助病理图像识别的一种低成本替代方法。
近日,中南大学基础医学院邓红文教授、肖红梅教授、中南大学湘雅医院王宽松教授等研究团队在Nature Communications发表了题为“Accurate recognition of colorectal cancer with semi-supervised deep learning on pathological images”的研究文章。研究人员从8803名受试者和13个独立的癌症研究中心收集了超过1.3万张结直肠癌图像。利用这些随机选择的病理图像,研究人员开发了一个用于识别结肠直肠癌图像的CRC半监督模型,该模型可从组织扫描图像中准确地检测和诊断结直肠癌,且准确率优于病理学家。
该研究的挑战在于大图像尺寸、复杂的组织形状、纹理和核染色的组织学变化。研究团队利用AUC衡量了人工智能诊断的准确性,发现经验丰富的病理学家手动识别结直肠癌的平均得分为0.969,CRC半监督模型的平均得分为0.980。
文章发表于Nature Communications
首先,研究人员评估了SSL和SL的CRC识别能力。SSL在少量标记图像和大量未标记图像上进行训练,评估分为patch-level和patient-level。数据集共842个WSIs,包括62,919个图像块,其中30%用于测试,70%用于训练,得到Model-5%/10%-SSL和Model-5%/10%/70%-SL。结果表明,Model-5%-SSL优于Model-5%-SL,Model-10%-SSL与Model-70%-SL没有显著差别。Model-10%-SL无法真正找到肿瘤在斑块中的位置,Model-10%-SSL与Model-70%-SL的肿瘤位置高度匹配(图1)。
图1. 结肠直肠癌研究的流程图。来源:Nature Communications
为检验上述结果在patch-level上是否仍适用于patient-level,研究人员评估了3/5的Model。在HPH、SYU、CGH和AMU (501 WSIs)的数据中,Model-10%-SSL的AUC高于Model-70%-SL。在来自GPH和ACL(392 WSIs)的数据中,Model-10%-SSL的性能低于Model-70%-SL,表明Model-10%-SSL普遍具有良好的灵敏度,对应用于CRC诊断有较高的潜力。Model-10%-SSL和Model-70% - SL识别的图像斑块为WSIs上真实的癌症斑点(图2)。
图2. patient-level的CRC识别结果。来源:Nature Communications
随后,研究团队招募了6名具有1 - 18年临床经验的病理学家独立判断了1634个WSIs,仅根据WSIs诊断癌症。结果显示,Model-10% SSL的平均AUC为0.972,接近病理学家的平均AUC 0.969。(图3)
图3. 病理学家与AI的 CRC比较。来源:Nature Communications
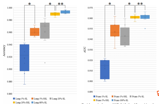
为了证明SSL在其他病理图像上的实用性,研究人员进行了SSL和SL在肺和淋巴结上的实验,包括15000张腺癌、鳞状细胞癌和良性组织3类肺图像,以及包括肿瘤和良性组织在内的294912张淋巴结图像。同样,将SSL在少量标记图像和大量未标记图像上进行训练,并与SL进行比较。结果发现,Lung-5%-SSL和Lung-20%-SSL均优于Lung-5%-SL和Lung -20%-SL。Lung-20%-SSL与Lung-80%-SL之间无差异;Pcam-1%-SSL和Pcam-5%SS均优于Pcam-1%-SL和Pcam-5%-SL。Pcam-5%-SSL可与Pcam-100%-SL之间几乎无差异。以上结果进一步证实,当使用少量标记数据加上大量未标记数据时,SSL的性能可能与SL相似,甚至更好(图4)。
图4. SSL和SL在肺癌和淋巴瘤中的应用。来源:Nature Communications
研究团队将该方法与七种现有的大肠癌检测方法和五种其他癌症(肺癌、导管癌、乳腺癌、前列腺癌、基底细胞癌)的检测方法进行了比较,证明了SSL模型的实用性和通用性。
综上所述,研究团队利用人工智能技术诊断结直肠癌时,其表现出的性能堪比临床病理学家,甚至在很多情况下比病理学家表现更好。在许多医疗领域,SSL具有很好的潜力来克服标记数据不足的瓶颈。使用AI诊断癌症可以加快整个过程,从而有效地帮助建立专家级别的病理人工智能平台,高效诊断人类癌症,促进人工智能在医学领域的发展和应用。
参考文献:
Yu G, Sun K, Xu C, et al. Accurate recognition of colorectal cancer with semi-supervised deep learning on pathological images. Nat Commun. 2021;12(1):6311. Published 2021 Nov 2.

咨询
我们尊重知识产权,如您认为本平台所载文章、图片、视频等内容侵犯您的合法权益,请您及时联系我们,我们将依据相关法律法规、平台规则予以处理。
关键字
- 226
- 点赞
- 复制链接
- 举报
