JCI | 何建行/范建兵等团队联合开发血液ctDNA甲基化模型,有望成为非侵入性肺结节诊断和分型的有力工具
背景介绍
肺癌,是全球癌症相关死亡的主要疾病类型之一。研究表明,肺癌的预后与其分期高度相关,5年总生存率可由IA期的85%急剧下降到IV期的6%,因此,这也使得肺癌早期筛查成为挽救生命和节省相关医疗费用的有利策略。 
此前,国家肺筛检试验 (NLST) 已经证明肺癌低剂量CT (LDCT) 筛查可降低高肺癌风险人群的死亡率。事实上,虽然LDCT比常规X射线更能有效地识别小结节,但其在大部分结节为良性的情况下区分小比例的恶性肿瘤结节仍然是具有挑战性的。此外,LDCT的灵敏度很大程度上受结节的大小和位置的影响,经LDCT发现的疑似肺癌病灶可进一步经侵入性方式协助诊断,但这可能会导致包括出血、感染、气胸甚至死亡在内的并发症。 
近年来,液体活检被认为是一种更简单、更安全、更具成本效益的肿瘤诊断和监测的无创方法。大多数无创检测方法依赖于早期肿瘤来源的核酸或血液中存在的蛋白质。数字PCR和新一代测序技术的进步大大提高了液体活检的准确性,显著提高了ctDNA分析在早期癌症检测中的敏感性。但目前的ctDNA分析大多是针对肺结节的基因层面进行,而ctDNA的甲基化信息是否可以协助诊断尚待研究。 
近日,广州医科大学附属第一医院何建行联合南方医科大学范建兵等研究团队在The Journal of Clinical Investigation杂志在线发表了题为“Accurate diagnosis of pulmonary nodules using a non-invasive DNA methylation test”的研究性文章,该研究首次评估了ctDNA甲基化信息对于肺结节诊断的准确性。结果表明,ctDNA甲基化在诊断及肺结节分类层面具有更好的效果,有助于为早期肺癌患者提供更加精准的治疗。 
文章发表在JCI  
主要研究内容
临床队列信息
该研究共纳入了585例LDCT阳性的患者,他们来自中国8个不同省份14个临床中心的外科科室。经过质控筛选,其中529例患者的血浆样本 (116例良性和413例恶性) 用于DNA甲基化分析模型的开发和验证。 
首先,研究团队将529个血浆样品按照3:1的比例分为一个模型开发组和一个独立验证组。其中,模型开发组再细分为一个训练集 (56个良性+ 253个恶性) 和一个测试集 (20个良性+60恶性) 。恶性肿瘤在训练集和测试集中占比分别为82%和75%,用于模型开发的主要是早期非小细胞肺癌。良性组结节平均大小15.8 mm [9.6-22.0 mm],与恶性组结节16.4 mm [9.9-22.9 mm]比较,差异有统计学意义 (p<0.05)。 
图1. 纳入人群及整体研究策略,图片来源:JCI 
PulmoSeek诊断模型的开发与验证
训练集中309个样本的甲基化数据由AnchorDx靶向甲基化测序平台获得,其包括12,899个预先选定的肺癌症特异性甲基化区域,对应105,844个CpG位点。研究人员根据上述甲基化特异性信息来区分良性结节与恶性结节。 
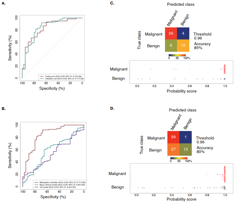
经过多种测试,该研究团队最终确定了一个名为PulmoSeek的具有100个甲基化特征的模型,该模型得到的整体AUC较高,为0.829 [0.719-0.942],敏感性也最高,为0.933 [0.533-0.983],特异性为0.600 [0.500-1.000],总体精度0.850 [0.625-0.912]。 
然后,研究团队使用测试集140例患者的独立队列血浆样本 (40例良性和100恶性) 进一步评估了PulmoSeek的性能。结果显示,PulmoSeek的AUC为0.843 [0.769-0.918],灵敏度为0.990 [0.610-1.000],特异性为0.325 [0.200-0.875],总体精度为0.800 [0.657-0.871]。 
同时,他们还比较了PulmoSeek与两种现存临床评估模型的性能。结果表明,PulmoSeek优于两种临床模型。在验证组中,PulmoSeek的AUC为0.843[0.769-0.918],Mayo Clinic模型的AUC为0.591 [0.482-0.688];Veterans Affairs模型的AUC为0.544 [0.442-0.640]。 
图2. PulmoSeek诊断模型的性能比较,图片来源:JCI 
PulmoSeek诊断模型在早期肺癌诊断中的评估
早期癌症 (TNM I期) 的检测是液体活检所面临的最大挑战。这是因为在早期时,肿瘤特征并不明显,这就要求液体活检方法具有极高的灵敏性。该研究团队检测了PulmoSeek在I期肺癌不同阶段的表现。结果显示,PulmoSeek在IA期的灵敏性达到0.941 (N=85),IB期达到100%的敏感性 (N=5)。具体来看,A1阶段 (N=22),IA2 (N=40)和IA3 (N=23)的灵敏性分别为0.864、0.950、1.000。以上结果验证了PulmoSeek的准确性,特别是在肺癌早期检测方面。
图3. PulmoSeek在早期肺癌诊断中的表现,图片来源:JCI
PulmoSeek对不确定结节的诊断
由于缺乏明确的诊断指南,对于临床医生来说,不确定肺结节 (结节大小在6-20毫米之间) 的诊断是具有挑战性的。那么PulmoSeek是否可以用来诊断不确定肺结节呢?
该研究中,6-20毫米大小的结节约占训练集和独立的验证集的70% (训练集,80例中56例;验证集140个中的100个)。在训练集中,PulmoSeek的AUC为0.762 [0.610-0.913],灵敏度为0.905 [0.429-0.976],特异性为0.500 [0.286-1.000]。在独立验证集中,PulmoSeek的AUC为0.844 [0.759-0.932],灵敏度为1.000[0.577-1.000],特异性为0.300 [0.172-0.931]。同时,经过比较,PulmoSeek对不确定肺结节的诊断性能也优于Mayo Clinic和Veterans Affairs模型。
 图4. PulmoSeek在6-20mm肺结节诊断中的表现,图片来源:JCI
PulmoSeek在不同类型结节分类中优于PET-CT 
计算机断层扫描 (PET-CT),对于结节类型的表征是比单独使用CT更准确的,很少有不明确的诊断。因此,低中度风险结节通常建议进一步进行PET-CT评估。但PET-CT对亚实性结节的表现却并不完美,比如毛玻璃结节 (GGN)。 
为此,研究人员比较了PulmoSeek与PET-CT的性能。有意思的是,PulmoSeek的准确率明显高于PET-CT,它能够准确地将8 / 10的患者划分为实性结节亚组,9 / 11划为部分实性结节亚组,5 / 5的患者划分为磨玻璃结节亚组。相比之下,PET-CT能够准确地将6/10的患者中归为实性结节亚组,7/11归为部分实性结节亚组,区分全部磨玻璃组。以上性能检测在测试组和独立验证集均得到相似结果。
 图5. PulmoSeek与PET-CT的性能比较,图片来源:JCI 
研究总结
综上所述,在该研究中,研究人员分析了来自中国529个肺结节患者的ctDNA甲基化数据,开发并验证了一个名为PulmoSeek的模型。该模型可以跨越不同的病灶位置,肺癌结节类型和疾病分期对肺结节进行高灵敏度和中度特异度的诊断。据文章介绍,这是迄今为止用来验证基于血液甲基化模型肺结节诊断最大的一项回顾性研究,或有望成为诊断、治疗肺结节和肺癌的有力筛选工具。 
参考文献 :
1. J Clin Invest. 2021. https://doi.org/10.1172/JCI145973.
2. McWilliams A, et al. Probability of cancer in pulmonary nodules detected on first screening CT. New England Journal of Medicine. 2013;369(10):910-9.
3. Postel M, et al. Droplet-based digital PCR and next generation sequencing for monitoring circulating tumor DNA: a cancer diagnostic perspective. Expert review of molecular diagnostics. 2018;18(1):7-17.

咨询
          我们尊重知识产权,如您认为本平台所载文章、图片、视频等内容侵犯您的合法权益,请您及时联系我们,我们将依据相关法律法规、平台规则予以处理。
        
 关键字 
 - 176
 - 点赞
 - 复制链接
 - 举报
 
