首个《中国肝癌早筛策略专家共识》发布,cfDNA全基因组测序技术表现亮眼
肝癌早筛的中国方案
随着中国人群队列的构建和相关研究的开展,建立基于中国人群数据,适应中国医疗卫生现状的肿瘤防控体系逐步走向现实。对于肿瘤患者而言,早期筛查和早期诊断能够显著提升五年生存期,并降低医疗负担,无疑是肿瘤防控的重要一环。6月22日,中华医学会肝病学分会的机关刊物《中华肝脏病杂志》正式在线发布了全国多中心前瞻性肝癌极早期预警筛查项目(PreCar)专家组制定的《中国肝癌早筛策略专家共识》(以下简称《共识》),这也是全球范围内首个聚焦肝癌早筛的专家共识。该共识首次提出了“金字塔”式分层筛查模式,首次突出强调了液体活检技术在肝癌个体化筛查或诊断中的应用,并优先推荐将cfDNA全基因组测序技术纳入到肝癌的筛查流程中[1]。肝癌早筛“中国方案”的出台,第一次建立起切实可行的、适合我国国情的肝癌筛查、诊疗策略,推进了前沿技术在肝癌早筛中的应用,从而提高肝癌早期诊断率,实现早治获益。
图1. 肝癌早筛“金字塔”模式。
在HCC筛查涉及的各类筛查技术中,传统的血清学标志物如甲胎蛋白(AFP),影像学检测如超声、MRI等在敏感性、特异性、技术普及性等方面仍然存在不足。为了突破检测效能的瓶颈,新兴的液体活检技术应运而生。然而,肝癌的早期筛查面临着更大的挑战:首先,与肺癌、乳腺癌等有着明确驱动基因的肿瘤不同,肝癌没有公认的驱动基因,目前也没有针对驱动基因的特定靶向药物,无法通过几个或几十个有限基因的筛查进行准确的评估与分类;其次,肝癌发生发展的分子生物学基础非常复杂,仅仅通过编码区的常见突变,难以捕捉到炎癌转化过程中微量的分子标记。这些挑战使得我们必须寻找一个能够全面覆盖基因组多维度信息的检测手段,并综合考量技术稳定性和样本可及性等因素,才能够真正开发出高效、可靠、适用于中国人群的肝癌早筛技术。cfDNA全基因组测序立足于检测血浆中cfDNA癌症极早期标志物,对肿瘤基因组的检测内容更全面,除了可检测体细胞编码区常见拷贝数突变外,还可检测核小体印迹、片段大小变异和末端序列等。性能较稳定,重复性高,不受筛查对象肝病史、临床病理特征和地域影响,在“金字塔”式HCC筛查中扮演着重要的角色。
cfDNA全基因组测序——肝癌早筛技术的性能担当
随着高通量测序的发展,如何将先进的技术应用于肝癌早筛,切实提升早诊率,吸引了领域内众多顶尖技术转化团队的关注。其中,和瑞基因的cfDNA全基因组检测技术是目前唯一一个经过万人队列的全国多中心、前瞻性肝癌极早期预警项目(PreCar)验证的技术。基于HIFI评分模型,区分肝癌和非肝癌的灵敏度高达95.42%,特异性达97.91%,NPV高达99.68%,对于正常人和肝病人群,可以排除癌变风险[2]。
与传统技术对比,对于AFP阴性(<20 μg/L)和PIVKA-II阴性(<40 mAU/mL)的肝细胞癌人群,HIFI模型的准确度分别为93.9%和90.9%[2],说明其在各种临床亚型的患者中有着较为稳定的表现;对于极早期(BCLC 0期)与早期(BCLC A期)肝细胞癌,和瑞基因cfDNA全基因组测序的检测灵敏度相比同期的AFP提升了3倍,比PIVKA-II提高了70%[2],可以大大降低漏检率。相关临床研究成果发表于国际权威期刊Cell Research(影响因子20.5)。优异的性能,为cfDNA全基因组测序大规模应用于肝癌分层筛查打下了坚实的基础。
图2.和瑞基因cfDNA全基因组测序技术验证文章发表在Cell Research。
在众多液体活检解决方案之中,为什么和瑞基因的cfDNA全基因组测序能够取得如此亮眼的表现?这与它独特的技术路线和评分模型密切相关。和瑞基因研发团队对cfDNA全基因组测序数据使用自主研发的机器学习算法完成四个维度的特征提取及模型构建,包括末端序列(motif)、片段大小分布(fragmentation)、核小体印迹(nucleosome footprint)、拷贝数变异(Copy number variation, CNV)等,最终通过加权整合,利用特征数据构建了肝癌诊断与筛查模型。同时,研究将多中心入组样本随机分配为彼此独立的训练集、验证集和测试集,使模型的分类性能得到充分、客观的验证。
图3. HIFI技术路线。
四大维度整合分析,让早期肝癌无处遁形
和瑞基因的cfDNA全基因组测序技术独创性地将基因组四个特征结合在一起,通过实验技术和数据分析的完美配合,实现了极佳的分类性能。多篇发表于高分期刊的研究揭开了其中的奥秘。末端序列(motif)是指DNA序列中重复出现的相似序列模式,目前已被作为肿瘤液体活检、无创产前检测的生物标记物。2020年发表于Cancer Discovery(IF 39.397)的研究发现,在肝细胞癌患者的血浆DNA信息中,其末端基序的多样性显著增加。同时,在肝细胞癌患者中,血浆DNA末端序列CCCA的丰度较低,异常的末端基序也较多。基于motif开发的MDS(motif diversity score)分析能够较好地用于肝癌和非肝癌样本的区分(AUC=0.86)[3]。总而言之,末端序列已经成为肝癌早筛分子标志物开发的一个很有前景的方向。
图4. 基于motif分析区分肝癌和非肝癌。
(A)motif频率热图;(B)6种代表性motif在肝癌和非肝癌样本中的差异;(C)motif多样性评分;(D)ROC曲线;(E)可以和无法检测到拷贝数改变的样本中motif多样性评分的差异;(F)突变片段(来自肿瘤组织)和野生型片段(大多来自非肿瘤组织)motif频率的差异;(G)不同条件下的分类性能(由计算机模拟);(H)不同DNA分子数的AUC。
血液中的cfDNA分子长短不一,与此同时,不同细胞释放到血液中的cfDNA的长度也会有所不同。血液中循环肿瘤DNA和非肿瘤DNA片段的片段大小分布(fragmentation)亦有不同。借助这种不同,科学家们开发出了一种更灵敏的血液中肿瘤DNA的检测方法——“片段特异富集”,这种方法可以更早更灵敏地检测到肿瘤,对于肿瘤的诊断和治疗具有重要意义。在发表于Science Translational Medicine(IF 17.956)的一项研究中,通过引入片段长度特征,可以将鉴定进展性肿瘤样本的AUC从0.8提升到0.99以上[4],揭示了cfDNA片段长度在肿瘤早筛和诊断中的应用潜力。
图5.cfDNA分子长短的鉴定步骤及其在区分肿瘤中的性能评估。
在真核生物中,核小体是染色质的重复单位,由145-147 bp的DNA片段包裹在组蛋白八聚体上组成,被认为能够影响基因的表达,而cfDNA核小体印迹(nucleosome footprint)更是能够反映原组织的基因表达信息。发表于Cell(IF 41.582)的文章指出,对cfDNA的全基因组测序能够在全基因组范围内分析核小体分布的位置,而cfDNA中的核小体印记模式通常是特定于某种癌症的,可以用来推断在癌症等病理状态下影响机体的细胞类型[5]。此外,由于该策略不依赖于基因差异来区分供体组织,因此可广泛应用于癌症的无创检测和诊断。
图6.cfDNA核小体印迹鉴定示意图。
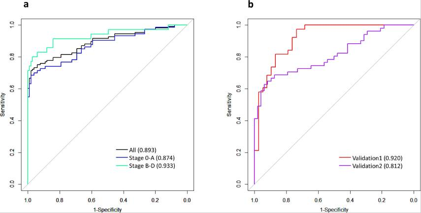
拷贝数变异(Copy number variation, CNV)是由基因组发生重排而导致的,一般指长度为1kb以上的基因组大片段拷贝数的增加或减少。近年来,CNV应用于肿瘤早期筛查、预后、免疫治疗评估等方向的研究迅速增多。发表于EBioMedicine(IF 8.143)的一项研究采用机器学习方法,借助cfDNA测序数据对体细胞基因拷贝数变异(somatic copy number aberration, SCNA)进行检测,在209名患者中构建了极早期和早期肝癌(巴塞罗那分期0-A)的分类模型,在两个测试集中AUC分别为0.920和0.812[6]。
图7
综上所述,和瑞基因cfDNA全基因组测序基于对肿瘤分子生物学的深入认识,融合目前最前沿的分析策略,综合利用四个维度特征数据构建了肝癌诊断与早期筛查模型。基于目前肝癌样本量最大的临床多中心研究PreCar数据进行了充分、客观的验证,证实了该技术稳定的分类性能,其区分肝癌和非肝癌的灵敏度可达 95.42%,特异性高达 97.91%,显著高于公开的同类肝癌检测模型[2]。
基于cfDNA全基因组测序技术的肝癌早筛产品“莱思宁”
基于PreCar项目的研究成果及前瞻性大队列临床试验结果,和瑞基因于2020年8月发布了首款基于cfDNA全基因组测序的肝癌早筛产品——“莱思宁”,用于高风险人群的肝癌筛查,可比传统方法提前6-12个月预警肝癌。截至目前,莱思宁根据万人随访队列基因组及临床信息大数据,通过高通量全基因组测序,识别受检者肝癌细胞极早期基因变异,并结合机器学习算法对多维度变异信息进行数据分析,构建了更符合中国人群的肝癌早筛全基因组特征的模型。
相比于传统血清标志物,莱思宁优势明显。临床检测数据显示,根据肝癌巴塞罗那分期(BCLC),对于极早期(0期)、早期(A期)肝癌,cfDNA检测的准确度都显著高于传统血清学检测,显著提升了临床筛查和临床分群的准确性。此外,莱思宁还可用于辅助肝结节的良恶性判定,肝癌患者术后动态监测等领域。莱思宁的另一大优势在于其无创、快速、简单的检测流程,利用10ml静脉血,经过10个工作日即可得到检测报告,这对于大规模检测的开展和金字塔式分层筛查的实现有着十分重要的意义[7]。
结 语
海军军医大学东方肝胆外科医院/国家肝癌科学中心王红阳院士指出,随着研究的深入以及极早期肿瘤筛查理念、技术、策略的推广应用,更多的早期肝癌患者将被发现得到及时治疗,不仅能够推动肝癌发病率和病死率的下降,还将引领中国肿瘤的早筛早诊早治工作,为健康中国做出贡献。
正如《共识》所提出的“金字塔式分层筛查模型”所揭示的,肝癌防控离不开精准的分层筛查,先进的检测技术和真正适合中国人群的分类模型是精准筛查的前提。和瑞基因多年来深耕肿瘤早期筛查领域,深度参与PreCar项目,积累了丰富的数据和大量的经验,并基于cfDNA全基因组测序的先进技术打造了业内领先的肝癌早筛产品莱思宁,能够帮助更多肝癌高危人群早预警、早诊断、早治疗,获得更好的临床治愈机会,并为肝癌患者的治疗带来切实的帮助。
参考资料:
[1]. 中国肝癌早筛策略专家共识. 中华肝脏病杂志,2021,29(6):515-522.doi: 10.3760/cma.j.cn501113-20210605-00264
[2]. Genome-scale profiling of circulating cell-free DNA signatures for early detection of hepatocellular carcinoma in cirrhotic patients. Cell Res. 2021 May;31(5):589-592.
[3]. Jiang P, Sun K, et al. Plasma DNA End-Motif Profiling as a Fragmentomic Marker in Cancer, Pregnancy, and Transplantation. Cancer Discov. 2020 May;10(5):664-673.
[4]. Mouliere F, Chandrananda D, et al. Enhanced detection of circulating tumor DNA by fragment size analysis. Sci Transl Med. 2018;10(466):eaat4921.
[5]. Snyder, Matthew W et al. Cell-free DNA Comprises an In Vivo Nucleosome Footprint that Informs Its Tissues-Of-Origin. Cell vol. 164,1-2 (2016): 57-68.
[6]. Tao K, Bian Z, et al. Machine learning-based genome-wide interrogation of somatic copy number aberrations in circulating tumor DNA for early detection of hepatocellular carcinoma. EBioMedicine. 2020;56:102811. doi:10.1016/j.ebiom.2020.102811
[7]. http://www.berryoncology.com/cmscontent/1127.html

咨询
我们尊重知识产权,如您认为本平台所载文章、图片、视频等内容侵犯您的合法权益,请您及时联系我们,我们将依据相关法律法规、平台规则予以处理。
关键字
- 272
- 点赞
- 复制链接
- 举报
