B-NDG系列二代小鼠
- 110601
- 百奥动物
- 江苏省南通市
- 现货
- 按需定制
- 议价
- 2022-11-17 10:24:32
百奥赛图江苏基因生物技术有限公司
- 英文名称
- B-NDG
- 别名
- 重度免疫缺陷小鼠
- 关键词
- 重度免疫缺陷小鼠免疫重建延长实验窗口期无需辐照促进髓系细胞重建
- 免疫缺陷程度
- 无T、B、NK 细胞
免疫缺陷鼠众多,重度免疫缺陷鼠如B-NDG小鼠凭借无T、B、NK 细胞更适合肿瘤造模和免疫重建等实验优势,已在科学家的实验室中崭露头角,各大期刊也不乏它的身影。
B-NDG 小鼠(NOD. CB17- Prkdcscid Il2rgtm1/ Bcgen)在NOD scid 小鼠中敲除了Il2rg 基因,缺乏成熟T、B和NK 细胞(图1A),是目前国际公认的免疫缺陷程度最高的实验小鼠之一,非常适合人源细胞或组织移植,已经成功用于制备CDX、PDX、人PBMC和人CD34+ HSC(造血干细胞)免疫重建等模型,广泛应用在抗体药物或细胞治疗的临床前评价中。使用B-NDG小鼠进行人PBMC或人CD34+HSC免疫重建和肿瘤造模后都能很好地验证抗体药的药效(图1B、1C)。

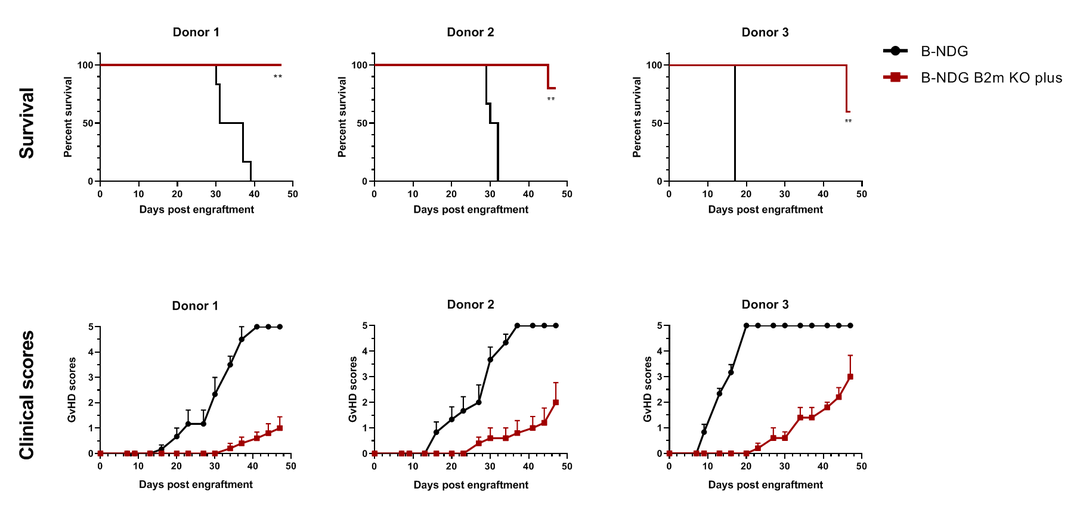
图 1:(A)B-NDG 小鼠 T 细胞、B 细胞和 NK 细胞缺失;(B)B-NDG 小鼠PBMC重建模型验证CD3/Claudin18.2双抗的药效;(C)B-NDG小鼠CD34+ HSC重建模型验证抗PD-1抗体的药效
但使用B-NDG小鼠进行PBMC和CD34+ HSC免疫重建时也面临着一些问题,如PBMC重建后的T细胞会对小鼠自身细胞进行攻击导致严重的xeno-GvHD反应;CD34+ HSC重建后的NK细胞和髓系细胞重建比例不足。基于这些问题,我们在B-NDG小鼠的基础上开发了多种二代小鼠(表1),以满足特定细胞功能研究和相应靶点药物评价的需求。
表1. B-NDG系列小鼠产品列表

01、B-NDG B2m KO plus小鼠
延长实验窗口期
在敲除B2m基因的同时表达了融合在FcRn基因中的B2m基因,这种小鼠具有B-NDG小鼠的基因背景,同时MHC I类分子表达缺失。抗体在该小鼠与B-NDG小鼠中的代谢没有差异(数据未展示),但可以有效减缓人PBMC重建后诱导的GvHD反应,表现为:小鼠的生存期延长;GvHD反应发生时间延迟;反应的严重程度降低(图2)。

图2:B-NDG小鼠与B-NDG B2m KO plus小鼠的GvHD模型
02、B-NDG hIL-15小鼠
人CD34+HSC重建促进人淋系细胞分化
将人CD34+HSC注射至辐照后的纯合B-NDG hIL15新生鼠的颞静脉,在不同时间点进行内眦采血,并通过流式细胞术分析外周血中T细胞、B细胞和NK细胞的数量与比例。结果显示B-NDG hIL15小鼠成功实现了免疫系统的人源化,重建后的T细胞和NK细胞可以共存,能够满足药效实验的需要(图3)。

图3:在B-NDG hIL15小鼠中移植人CD34+HSC后各类免疫细胞的流式细胞分析结果 。(A)重建后各免疫细胞的比例;(B)重建后各免疫细胞的绝对数量。
人NK细胞重建促进人NK细胞的增殖与维持
从人PBMC中纯化NK细胞,将其分别静脉注射到B-NDG hIL15小鼠和B-NDG小鼠中,然后使用流式细胞术分析小鼠外周血NK细胞的数量和比例。在注射后2周,与B-NDG小鼠相比,B-NDG hIL15小鼠的外周血中具有更高比例的人NK细胞,并且在注射后的6周仍然可以维持较高的水平。


图4:人NK细胞在B-NDG hIL15小鼠中重建后检测各类免疫细胞的比例
03、B-NDG hTHPO mice
无需辐照,进行人CD34+HSC重建
分别在未经辐照的B-NDG hTHPO小鼠和辐照过的B-NDG小鼠中进行人CD34+HSC重建,检测外周血中人CD45+细胞的重建水平并绘制小鼠的生存曲线。结果显示:两种小鼠的人CD45+细胞的重建水平无显著差异,B-NDG hTHPO小鼠的生存率更高,证明使用B-NDG hTHPO小鼠进行免疫重建可以避免辐照对小鼠的损伤(图5)。

图5:未经辐照的B-NDG hTHPO小鼠和辐照过的B-NDG小鼠进行人CD34+HSC重建
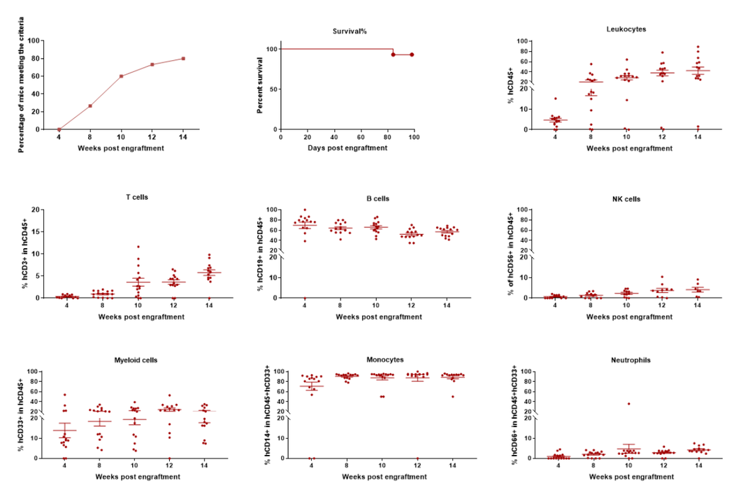
04、B-NDG hCSF1/hTHPO mice
无需辐照,促进髓系细胞重建
血液中CSF1是由血管内皮细胞产生的,与各组织局部产生的CSF1可以相互作用,共同调控单核吞噬细胞和破骨细胞的生存、增殖和分化[1]。在未经辐照的B-NDG hCSF1/hTHPO小鼠中进行人CD34+HSC重建后,可以较好的重建人淋系细胞和髓系细胞,特别是单核细胞(图6)。

图6:未经辐照的B-NDG hCSF1/hTHPO小鼠进行CD34+HSC重建
参考资料
1. Pixley FJ, Stanley ER. CSF-1 regulation of the wandering macrophage: complexity in action. Trends Cell Biol. 2004;14(11):628-638.
