电化学生物传感器-血酮传感器定制开发与生产代工服务
定制供应
详情
描述
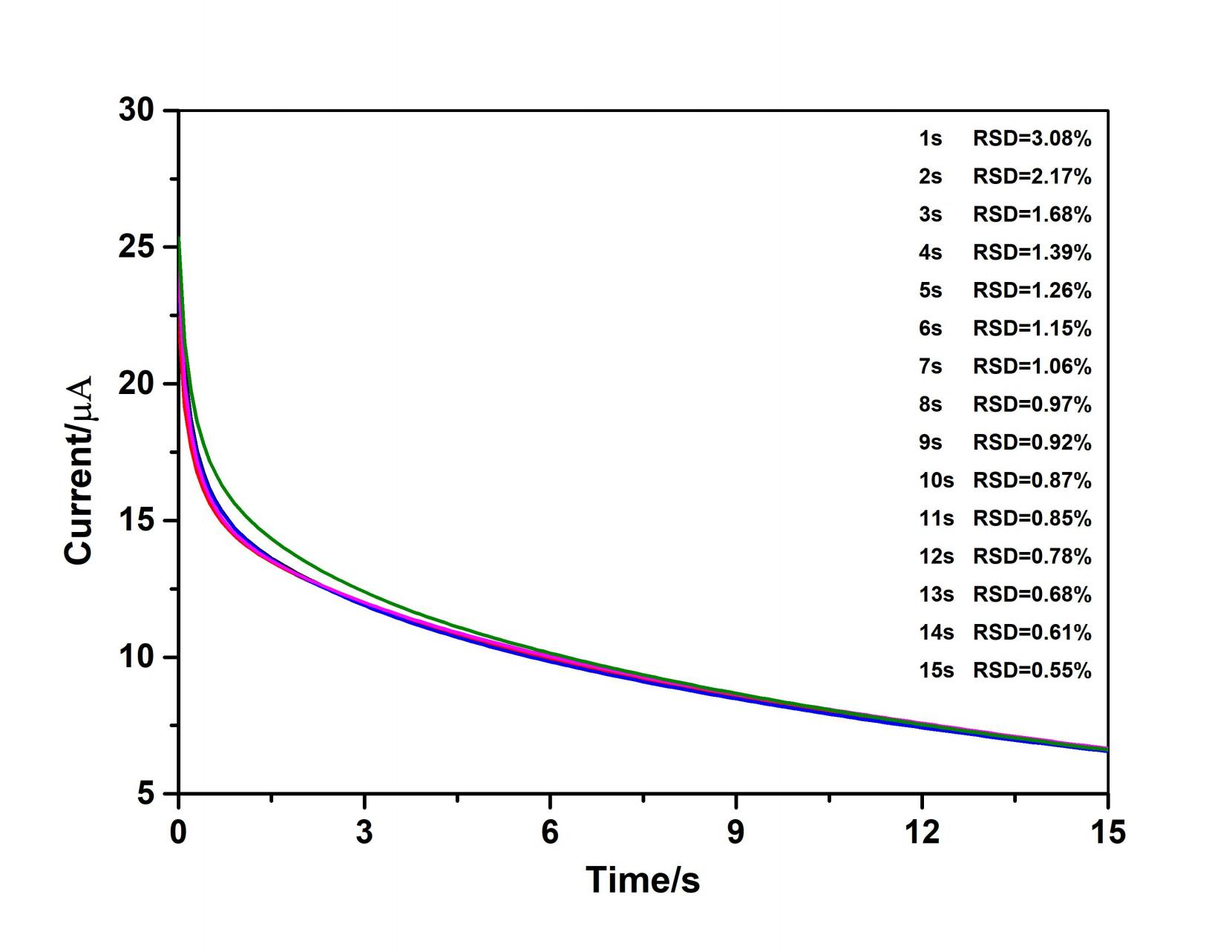
血酮传感器采用经典的虹吸方式进行样本的检测,主要由:电极板、上盖片、羟丁酸脱氢酶和辅料等组成。血酮传感器的检测原理为:该传感器的反应区固定有特殊的化学试剂,与样本中的血酮接触后发生化学反应,产生微电流,微电流的强弱大小与血酮浓度成正比;1性能参数尺寸:34*6mm电极导线(PIN):银碳电极存储:干燥、室温、避光开瓶后6个月用完2性能分析测试血酮生物传感器在不同血酮质控液浓度下的 i-t 测试曲线血酮生物传感器在不同血酮质控液浓度下,不同时间段下的线性测试曲线;5支血酮生物传感器在同一血酮质控液浓度下,不同时间段下的 i-t测试曲线及RSD;
所在地
湖南省
发布时间
2025-12-21 21:20:50
我意向对接
血酮传感器采用经典的虹吸方式进行样本的检测,主要由:电极板、上盖片、羟丁酸脱氢酶和辅料等组成。
血酮传感器的检测原理为:该传感器的反应区固定有特殊的化学试剂,与样本中的血酮接触后发生化学反应,产生微电流,微电流的强弱大小与血酮浓度成正比;
性能参数
尺寸:34*6mm
电极导线(PIN):银碳电极
存储:干燥、室温、避光
开瓶后6个月用完

性能分析测试

血酮生物传感器在不同血酮质控液浓度下的 i-t 测试曲线

血酮生物传感器在不同血酮质控液浓度下,不同时间段下的线性测试曲线;

5支血酮生物传感器在同一血酮质控液浓度下,不同时间段下的 i-t测试曲线及RSD;
